ПИК с нов канал в Телеграм
Последвайте ни в Google News Showcase
Израел одобри плана за прекратяване на огъня в Газа и освобождаване на заложниците.
Това стана ясно след заседание на кабинета, начело с премиера Бенямин Нетаняху, на което участваха и специалните пратеници на Съединените щати Стив Уиткоф и Джаред Къшнър.
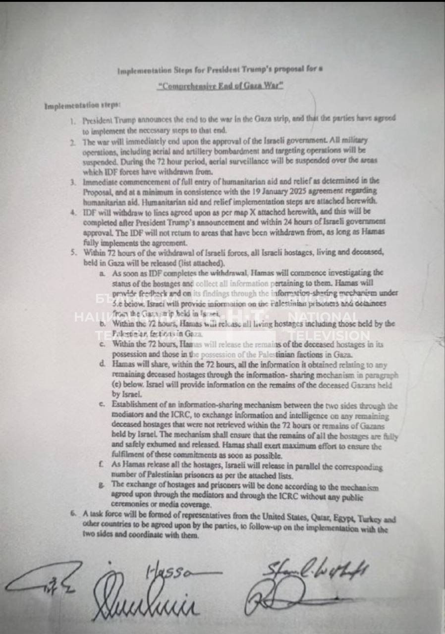
БНТ публикува снимка на документа от 6 точки, подписан от заинтересованите страни.
Точка 5 подробно описва как трябва да действа Хамас след оттеглянето на израелските военни от позициите им в Газа.
В следващите 72 часа в Израел ще бъдат върнати живите заложници и тленните останки на починалите. Това обаче ще стане без медийно присъствие.
В замяна израелските власти ще освободят около 2000 палестински затворници.
Работна група с представители на Съединените щати, Катар, Египет, Турция и още няколко държави, ще следят за изпълнение на споразумението.
"През последните две години се борихме да постигнем военните си цеи. Една от тях беше да върнем у дома заложниците - всички заложници, живите и мъртвите. На път сме на да постигнем тази цел. Нямаше да успеем без изключителната помощ на президента Доналд Тръмп и неговия екип - Стив Уиткоф и Джаред Къшнър. Те работиха неуморно, заедно с нашите екипи. Това и куражът на нашите военни в Газа, в комбинация с военния и дипломатически натиск, които изолираха "Хамас", ни доведоха до този момент", заяви израелският премиер Бенямин Нетаняху.
"Трудната работа беше тази на министър-председателя. Той имаше за цел да пази страната си, да прави трудни избори - колко точно да е голям натискът срещу Хамас, кога да е гъвкав и кога не. През цялото време си мислех, какво АЗ бих направил на негово място. Имаше моменти, в които мислех, че и той, и нашата страна трябва да бъдем по-гъвкави. Но когато погледна назад, истината е, че нямаше да стигнем до тук, ако премиерът Нетаняху не беше действал по начина, по който го направи", коментира Стив Уитокф, специален пратеник на САЩ за Близкия изток.



